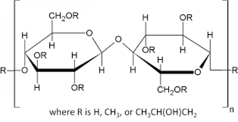
Global Hydroxypropyl Methylcellulose Market Insights, Forecast to 2025

Market-Research
Hydroxypropyl Methylcellulose Market

This report researches the worldwide Hydroxypropyl Methylcellulose market size (value, capacity, production and consumption) in key regions like North America, Europe, Asia Pacific (China, Japan) and other regions.

This study categorizes the global Hydroxypropyl Methylcellulose breakdown data by manufacturers, region, type and application, also analyzes the market status, market share, growth rate, future trends, market drivers, opportunities and challenges, risks and entry barriers, sales channels, distributors and Porter's Five Forces Analysis.

Download FREE Sample of this Report @ https://www.24marketreports.com/report-sample/global-hydroxypropyl-methylcellulose-2025-179

Global Hydroxypropyl Methylcellulose market size will increase to Million US$ by 2025, from Million US$ in 2017, at a CAGR of during the forecast period. In this study, 2017 has been considered as the base year and 2018 to 2025 as the forecast period to estimate the market size for Hydroxypropyl Methylcellulose.

 

This report focuses on the top manufacturers' Hydroxypropyl Methylcellulose capacity, production, value, price and market share of Hydroxypropyl Methylcellulose in global market. The following manufacturers are covered in this report:

  • Shin Etsu Tylose
  • Ashland
  • Dow Chemicals
  • Shandong Head Co., Ltd
  • Samsung Fine Chemicals

Hydroxypropyl Methylcellulose Breakdown Data by Type

  • Pharmaceutical Grade
  • Industrial Grade

 

Hydroxypropyl Methylcellulose Breakdown Data by Application

  • Construction
  • Pharmaceuticals
  • Cosmetics
  • Food Industry
  • Others

Hydroxypropyl Methylcellulose Production Breakdown Data by Region

  • United States
  • Europe
  • China
  • Japan
  • Other Regions

Hydroxypropyl Methylcellulose Consumption Breakdown Data by Region

  • North America
  • United States
  • Canada
  • Mexico
  • Asia-Pacific
  • China
  • India
  • Japan
  • South Korea
  • Australia
  • Indonesia
  • Malaysia
  • Philippines
  • Thailand
  • Vietnam
  • Europe
  • Germany
  • France
  • UK
  • Italy
  • Russia
  • Rest of Europe
  • Central & South America
  • Brazil
  • Rest of South America
  • Middle East & Africa
  • GCC Countries
  • Turkey
  • Egypt
  • South Africa
  • Rest of Middle East & Africa

The study objectives are:

  • To analyze and research the global Hydroxypropyl Methylcellulose capacity, production, value, consumption, status and forecast;
  • To focus on the key Hydroxypropyl Methylcellulose manufacturers and study the capacity, production, value, market share and development plans in next few years.
  • To focuses on the global key manufacturers, to define, describe and analyze the market competition landscape, SWOT analysis.
  • To define, describe and forecast the market by type, application and region.
  • To analyze the global and key regions market potential and advantage, opportunity and challenge, restraints and risks.
  • To identify significant trends and factors driving or inhibiting the market growth.
  • To analyze the opportunities in the market for stakeholders by identifying the high growth segments.
  • To strategically analyze each submarket with respect to individual growth trend and their contribution to the market.
  • To analyze competitive developments such as expansions, agreements, new product launches, and acquisitions in the market.
  • To strategically profile the key players and comprehensively analyze their growth strategies.

In this study, the years considered to estimate the market size of Hydroxypropyl Methylcellulose :

  • History Year: 2013-2017
  • Base Year: 2017
  • Estimated Year: 2018
  • Forecast Year 2018 to 2025

Get the Complete Report & TOC @ https://www.24marketreports.com/chemicals-and-materials/global-hydroxypropyl-methylcellulose-2025-179


Table of content

Global Hydroxypropyl Methylcellulose Market Research Report 2018-2025, by Manufacturers, Regions, Types and Applications
1 Study Coverage
1.1 Hydroxypropyl Methylcellulose Product
1.2 Key Market Segments in This Study
1.3 Key Manufacturers Covered
1.4 Market by Type
1.4.1 Global Hydroxypropyl Methylcellulose Market Size Growth Rate by Type
1.4.2 Pharmaceutical Grade
1.4.3 Industrial Grade
1.5 Market by Application
1.5.1 Global Hydroxypropyl Methylcellulose Market Size Growth Rate by Application
1.5.2 Construction
1.5.3 Pharmaceuticals
1.5.4 Cosmetics
1.5.5 Food Industry
1.5.6 Others
1.6 Study Objectives
1.7 Years Considered

2 Executive Summary
2.1 Global Hydroxypropyl Methylcellulose Production
2.1.1 Global Hydroxypropyl Methylcellulose Revenue 2013-2025
2.1.2 Global Hydroxypropyl Methylcellulose Production 2013-2025
2.1.3 Global Hydroxypropyl Methylcellulose Capacity 2013-2025
2.1.4 Global Hydroxypropyl Methylcellulose Marketing Pricing and Trends
2.2 Hydroxypropyl Methylcellulose Growth Rate (CAGR) 2018-2025
2.3 Analysis of Competitive Landscape
2.3.1 Manufacturers Market Concentration Ratio (CR5 and HHI)
2.3.2 Key Hydroxypropyl Methylcellulose Manufacturers
2.4 Market Drivers, Trends and Issues
2.5 Macroscopic Indicator
2.5.1 GDP for Major Regions

If You Have Any Question Related To This Report Contact Us @ https://www.24marketreports.com/enquire-now/global-hydroxypropyl-methylcellulose-2025-179


CONTACT US:
276 5th Avenue, New York , NY 10001,United States
International: (+1) 646 781 7170
Fax: (+1) 212 634 4885
Email: help@24marketreports.com

Follow Us On linkedin :- https://www.linkedin.com/company/24-market-reports