In the realm of green chemistry and sustainable bioproducts, mannosylerythritol lipids (MELs) have emerged as a groundbreaking class of natural surfactants and emulsifiers. As industries increasingly shift towards eco-friendly alternatives, the mannosylerythritol lipids market holds the promise of revolutionizing various applications, from personal care products to environmental remediation.
Unveiling Mannosylerythritol Lipids: Nature's Ingenious Molecules
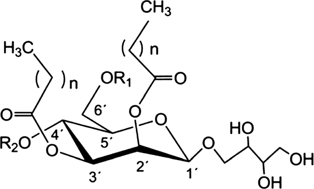
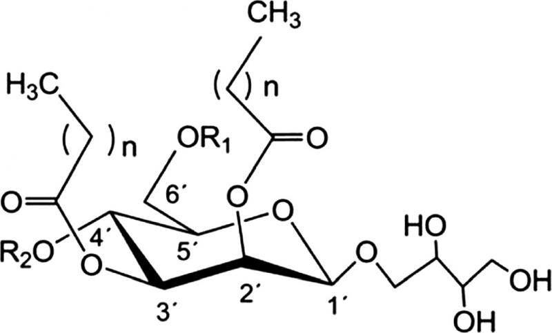
MELs are a type of glycolipid biosurfactant produced by certain yeast strains through fermentation. These molecules possess remarkable surface-active properties, allowing them to reduce interfacial tension and stabilize emulsions. What sets MELs apart is their green origin and biodegradability, aligning perfectly with the principles of sustainability and reducing environmental impact.
Applications Across Industries: From Cosmetics to Contaminant Cleanup
The mannosylerythritol lipids market spans a diverse range of industries, each harnessing the unique properties of MELs to create innovative and environmentally conscious solutions.
In the personal care sector, MELs have gained attention for their emulsifying and moisturizing capabilities. These natural emulsifiers enable the formulation of eco-friendly and skin-friendly cosmetics, replacing synthetic alternatives and catering to conscious consumers seeking sustainable beauty products.
In agriculture, MELs have demonstrated potential as biopesticides and antifungal agents. Their biocompatibility and low toxicity offer a greener approach to pest and disease management while reducing the need for harmful chemical interventions.
One of the most exciting applications lies in environmental remediation. MELs exhibit the ability to enhance the solubility and biodegradation of hydrophobic pollutants, making them a valuable tool for cleaning up oil spills and contaminated soil.
Market Trends and Environmental Imperatives
The mannosylerythritol lipids market is driven by the global shift towards sustainable practices and green alternatives. As industries and consumers prioritize eco-friendly products, MELs offer a compelling solution that aligns with both performance and environmental responsibility.
Companies are investing in research and development to optimize MEL production processes, improve yield, and explore new applications. This commitment to innovation underscores the market's potential to drive significant change in various sectors.
Challenges and Future Prospects
While the mannosylerythritol lipids market holds immense promise, challenges related to scalability, cost-effectiveness, and regulatory considerations must be addressed. Scaling up production while maintaining consistent quality is a priority to meet growing demand across industries.
As research continues, unlocking the full potential of MELs requires collaboration among researchers, manufacturers, and policymakers. Establishing standardized regulations and certifications will ensure product safety and compatibility with existing industry practices.
Conclusion
The mannosylerythritol lipids market represents a compelling intersection of science, sustainability, and innovation. Its applications span a wide spectrum, from enhancing personal care products to mitigating environmental pollution. As the world strives for more sustainable and responsible solutions, MELs have emerged as a natural emulsifier paving the way for greener practices across industries. With ongoing research, technological advancements, and a shared commitment to a healthier planet, the mannosylerythritol lipids market is poised to play a transformative role in shaping a more sustainable and resilient future.
